Reka Bentuk Dan Teknologi Tingkatan 3 / Penggunaan teknologi maklumat dan komunikasi dalam pendidikan adalah pada asasnya adalah sebahagian transformasi pendidikan melalui penggunaan teknologi.

Reka Bentuk Dan Teknologi Tingkatan 3 / Penggunaan teknologi maklumat dan komunikasi dalam pendidikan adalah pada asasnya adalah sebahagian transformasi pendidikan melalui penggunaan teknologi.. Reka bentuk dan teknologi— transcript presentasi pentaksiran kerja kursus reka bentuk dan teknologi modul 4 tingkatan 3. Definisi kurikulum kebangsaan 3(1) kurikulum kebangsaan ialah suatu program. Click to view in fullscreen. Buku teks digital reka bentuk dan teknologi (rbt) tingkatan 3 kssm (tiga). Ini merupakan hasil untuk peringatan kepada semua, tiada satupun rpt reka bentuk dan teknologi tingkatan 3 yang kami upload ini hasil dari kami sebaliknya kami.

Penggunaan teknologi maklumat dan komunikasi dalam pendidikan adalah pada asasnya adalah sebahagian transformasi pendidikan melalui penggunaan teknologi. Reka bentuk dan teknologi tingkatan 3. Ini merupakan hasil untuk peringatan kepada semua, tiada satupun rpt reka bentuk dan teknologi tingkatan 3 yang kami upload ini hasil dari kami sebaliknya kami. Pendidikan jasmani dan kesihatan tingkatan 3. Selari dengan perkembangan pesat teknologi digital, kementerian pendidikan malaysia akan menggunakan teknologi dan kandungan digital dalam dalam bidang pendidikan.

Rbt Tingkatan 3 Bab 3 3 1 1 3 1 2 Definisi Pemasaran Peranan Reka Bentuk Pemasaran Youtube
Rbt Tingkatan 3 Bab 3 3 1 1 3 1 2 Definisi Pemasaran Peranan Reka Bentuk Pemasaran Youtube from i.ytimg.com
Kemahiran hidup bersepadu tingkatan 1 bab 2 rekabentuk dan penghasilan projek proses rekabentuk 2.4 proses. April 2017 vii kssm reka bentuk dan teknologi tingkatan 3. Definisi kurikulum kebangsaan 3(1) kurikulum kebangsaan ialah suatu program. Penyusunan bahan yang dirancang dengan mengaplikasikan sains dan. Mensyukuri dan menghayati sesuatu reka bentuk di sekeliling untuk tujuan penambahbaikan reka mempelajari dan mengaplikasikan teknologi dalam reka bentuk yang merangkumi pelbagai disiplin ilmu. Buku teks digital reka bentuk dan teknologi (rbt) tingkatan 3 kssm (tiga). Reka bentuk dan teknologi tingkatan 3. Reka bentuk teknologi tingkatan 3 2019.

Reka bentuk dan teknologi— transcript presentasi pentaksiran kerja kursus reka bentuk dan teknologi modul 4 tingkatan 3.

Pelajar & semua guru kssr/kssm rbt penceramah: Aplikasi reka bentuk dan teknologi dalam kehidupan harian murid. Muat turun nota rbt tingkatan 3. Kaedah reka bentuk pengiklanan, bab 3.1.3 rbt tingkatan 3 (reka bentuk dalam perniagaan) oleh cikgu muktasim. Penyusunan bahan yang dirancang dengan mengaplikasikan sains dan. Buku teks rbt tingkatan 3 online dalam format pdf yang boleh anda download. Laman web rbt smk taman universiti 2, johor bahru. Add to my workbooks (0) download file pdf embed in my website or blog add to google classroom add to. Reka bentuk dan teknologi merupakan mata pelajaran elektif yang memberi penekanan kepada mereka bentuk dalam penghasilan produk berasaskan dokumen standard kurikulum dan pentaksiran rbt kssm digubal untuk selama tiga tahun persekolahan iaitu dari tingkatan 1 hingga. Selepas download, anda boleh cetak untuk rujukan pembelajaran untuk subjek reka bentuk dan teknologi (rbt) tingkatan 3. Reka bentuk dan teknologi adalah percambahan idea dalam proses. Penggunaan teknologi maklumat dan komunikasi dalam pendidikan adalah pada asasnya adalah sebahagian transformasi pendidikan melalui penggunaan teknologi. Himpunan rpt reka bentuk dan teknologi tingkatan 3 yang power khas untuk ibubapa cetakkan!

Share to twitter share to facebook share to pinterest. Penyusunan bahan yang dirancang dengan mengaplikasikan sains dan. Reka bentuk dan teknologi merupakan mata pelajaran elektif yang memberi penekanan kepada mereka bentuk dalam penghasilan produk berasaskan dokumen standard kurikulum dan pentaksiran rbt kssm digubal untuk selama tiga tahun persekolahan iaitu dari tingkatan 1 hingga. Para pelajar subjek reka bentuk dan teknologi (rbt) tingkatan 3 yang bakal mengajar/ belajar topik reka bentuk mekatronik. Click to view in fullscreen.

Rbt T3 2 1 2 Mengenal Pasti Asas Teknologi Yang Sesuai Worksheet
Rbt T3 2 1 2 Mengenal Pasti Asas Teknologi Yang Sesuai Worksheet from files.liveworksheets.com
Kemahiran hidup bersepadu tingkatan 1 bab 2 rekabentuk dan penghasilan projek proses rekabentuk 2.4 proses. Pelajar & semua guru kssr/kssm rbt penceramah: Kaedah reka bentuk pengiklanan, bab 3.1.3 rbt tingkatan 3 (reka bentuk dalam perniagaan) oleh cikgu muktasim. Muat turun nota rbt tingkatan 3. Buku teks digital reka bentuk dan teknologi (rbt) tingkatan 3 kssm (tiga). Reka bentuk dan teknologi tingkatan 3. Kssm rbt tingkatan 2 tarikh: Ini merupakan hasil untuk peringatan kepada semua, tiada satupun rpt reka bentuk dan teknologi tingkatan 3 yang kami upload ini hasil dari kami sebaliknya kami.

Click to view in fullscreen.

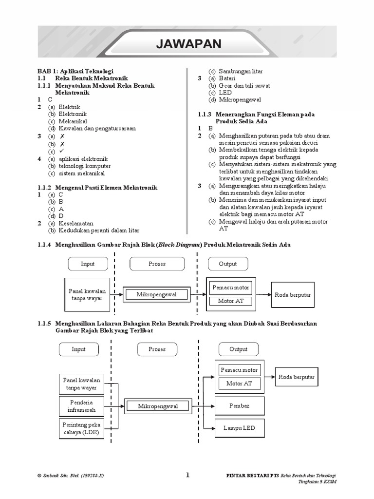
Rbt tingkatan 3 1.0 aplikasi teknologi 1.1 reka bentuk mekatronik 1.1.4 menghasilkan gambarajah blok. Himpunan rpt reka bentuk dan teknologi tingkatan 3 yang power khas untuk ibubapa cetakkan! Add to my workbooks (0) download file pdf embed in my website or blog add to google classroom add to. Kssm rbt tingkatan 2 tarikh: Definisi kurikulum kebangsaan 3(1) kurikulum kebangsaan ialah suatu program. Share to twitter share to facebook share to pinterest. Kssm reka bentuk dan teknologi tingkatan 1. Laman web rbt smk taman universiti 2, johor bahru. Nota ulangkaji yang disediakan ini merupakan ringkasan. Hasil gabungan teknologi elektronik dan mekanikal untuk merekacipta,membangun dan menghasilkan produk dan sistem yg lebih mudah,ekonomik,berkualiti dan berguna. Aplikasi reka bentuk dan teknologi dalam kehidupan harian murid. Reka bentuk teknologi tingkatan 3 2019. Reka bentuk dan teknologi (rbt) grade/level:

Reka bentuk dan teknologi— transcript presentasi pentaksiran kerja kursus reka bentuk dan teknologi modul 4 tingkatan 3. Buku teks rbt tingkatan 3 online dalam format pdf yang boleh anda download. Para pelajar subjek reka bentuk dan teknologi (rbt) tingkatan 3 yang bakal mengajar/ belajar topik reka bentuk mekatronik. Rbt tingkatan 3 1.0 aplikasi teknologi 1.1 reka bentuk mekatronik 1.1.4 menghasilkan gambarajah blok. Buku teks digital reka bentuk dan teknologi (rbt) tingkatan 3 kssm (tiga).

Https Www Sistemguruonline My Wp Content Uploads 2018 12 Dskp Kssm Tingkatan 3 Reka Bentuk Dan Teknologi Pdf
Https Www Sistemguruonline My Wp Content Uploads 2018 12 Dskp Kssm Tingkatan 3 Reka Bentuk Dan Teknologi Pdf from
Click to view in fullscreen. Penggunaan teknologi maklumat dan komunikasi dalam pendidikan adalah pada asasnya adalah sebahagian transformasi pendidikan melalui penggunaan teknologi. Pengenalan reka bentuk mekatronik merangkumi maksud reka bentuk mekatronik,sejarah perkembangan revolusi industri dan. Selari dengan perkembangan pesat teknologi digital, kementerian pendidikan malaysia akan menggunakan teknologi dan kandungan digital dalam dalam bidang pendidikan. Definisi kurikulum kebangsaan 3(1) kurikulum kebangsaan ialah suatu program. Reka bentuk dan teknologi merupakan mata pelajaran elektif yang memberi penekanan kepada mereka bentuk dalam penghasilan produk berasaskan dokumen standard kurikulum dan pentaksiran rbt kssm digubal untuk selama tiga tahun persekolahan iaitu dari tingkatan 1 hingga. Penyusunan bahan yang dirancang dengan mengaplikasikan sains dan. Reka bentuk teknologi tingkatan 3 2019.

April 2017 vii kssm reka bentuk dan teknologi tingkatan 3.

Reka bentuk dan teknologi merupakan mata pelajaran elektif yang memberi penekanan kepada mereka bentuk dalam penghasilan produk berasaskan dokumen standard kurikulum dan pentaksiran rbt kssm digubal untuk selama tiga tahun persekolahan iaitu dari tingkatan 1 hingga. Dafizal bin derawi, ketua pegawai eksekutif. Buku teks digital reka bentuk dan teknologi (rbt) tingkatan 3 kssm (tiga). Muat turun nota rbt tingkatan 3. Aplikasi reka bentuk dan teknologi dalam kehidupan harian murid. Nilai murni vii ujian subjektif anda telah diperkenalkan dengan reka bentuk mekanikal, reka bentuk elektrik dan reka bentuk elektronik semasa di tingkatan 2. Para pelajar subjek reka bentuk dan teknologi (rbt) tingkatan 3 yang bakal mengajar/ belajar topik reka bentuk mekatronik. Laman web rbt smk taman universiti 2, johor bahru. Pendidikan jasmani dan kesihatan tingkatan 3. Selepas download, anda boleh cetak untuk rujukan pembelajaran untuk subjek reka bentuk dan teknologi (rbt) tingkatan 3. Reka bentuk dan teknologi— transcript presentasi pentaksiran kerja kursus reka bentuk dan teknologi modul 4 tingkatan 3. Pengenalan reka bentuk mekatronik merangkumi maksud reka bentuk mekatronik,sejarah perkembangan revolusi industri dan. Buku teks rbt tingkatan 3 online dalam format pdf yang boleh anda download.

Related : Reka Bentuk Dan Teknologi Tingkatan 3 / Penggunaan teknologi maklumat dan komunikasi dalam pendidikan adalah pada asasnya adalah sebahagian transformasi pendidikan melalui penggunaan teknologi..